Updated performance plots for hpDIRC. Comparison to "prism + plate" EV. 15.10.25
- EIC, ePIC, hpDIRC, updated geometry (barrel's R = 766.25)
- with B-field
- tracks hitting middle of the bar #5
- pi/K @ 6 GeV/c
- 0.5 mrad tracking resolution, unless labeled otherwise
- 3-layer spherical lens with sapphire, r=[62,36] for prism EV
- 4x6 layout; 16x16 pixels MCP-PMTs with HIQ400, CE=95%; 100 ps time precision
- 2x3 layout; 32x32 pixels HRPPD Incom.24, CE=70%; 100 ps time precision
- transport efficiency based on BaBar ref. coef. measurements
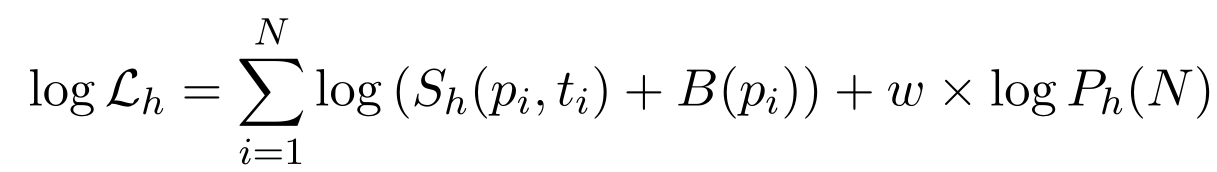
- TI with 30k PDF for each particle type.
- eicdirc's git commit hash: d0a77e6cf6db2faa0b76349aed7956798fc51a3e
Example of photon yield PDFs: (pi/K)
Theta-momentum performance map:
Performance maps with fixed labels (w = 5):