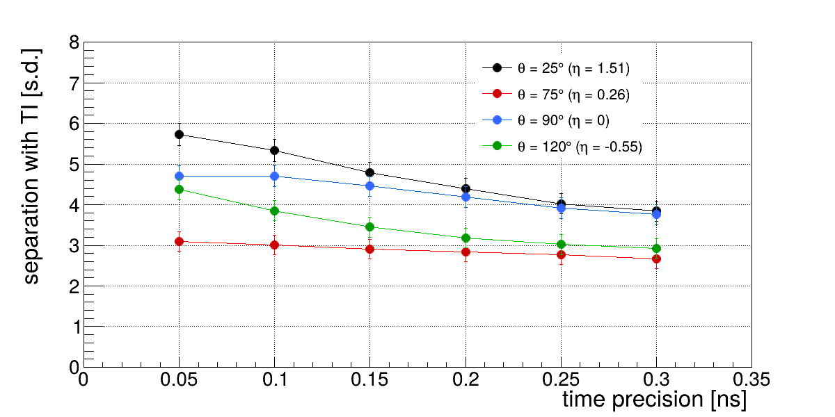
Updated performance plots for hpDIRC
- EIC, ePIC, hpDIRC
- with B-field
- tracks hitting middle of the bar #5
- 3-layer spherical lens with sapphire, r=[62,36]
- 4x6 layout; 16x16 pixels MCP-PMTs with HIQ400, CE=95%;100 ps time precision
- transport efficiency based on BaBar ref. coef. measurements
- geometrical reconstruction with averaged LUT from 15M photons
- TI with 20k PDF for each particle type. PDF generated with corresponding bar shape.
- GR with per-PMT and chromatic corrections
pi/K @ 6 GeV/c, with B-field, 0.5mrad tracking resolution





pi/K @ 6 GeV/c, 0.5mrad tracking resolution




pi/K @ 6 GeV/c, for different tracking resolution:





pi/K @ 6 GeV/c, for different tracking resolution, without mapped:





